- 全國統一銷售熱線:
- 北京總部:
- 010-64437473
- 上海:
- 021-62113795
- 深圳:
- 0755-86241216
高壓清洗機噴嘴參數選擇方法—估算法
時間:2013-04-10 來源: http://m.weekbqp.cn
在高壓水射流清洗中,噴嘴的作用是將高壓力低流速的水轉化為低壓力高流速的射流。噴嘴的性能將直接影響射流水力性能和工件的清洗質量,所以在設計制造高壓清洗機中,正確、合理地選擇噴嘴的類型及確定噴嘴的結構參數,是一個極其關鍵的問題。
一般在高壓清洗機設計中,首先根據類比或試驗方法確定系統的壓力和流量,隨后便可按照估算法對清洗機噴嘴參數進行計算。
高壓清洗機噴嘴參數選擇方法—估算法:
這種方法主要由流量連續性方程和能量守恒方程來確定噴嘴截面積:
Q=A•V=常數 [不考慮泵到噴嘴的流量損失] 公式(1)
公式(1)中:Q —柱塞泵流量,m³/s;
A —噴嘴截面積,㎡;
V —噴嘴處流速,m/s。
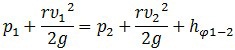
公式(2)公式(2)中:
—噴嘴上游某斷面的壓力,Pa;
r —清洗液重度,N/m³;
g —重力加速度,取g=9.81m/s²。
取柱塞泵出口和噴嘴出口兩斷面,則
=0,
=
,
=V,
=0;即可得出:
將公式(4)代入公式(1),便可確定噴嘴截面積。
公式(4)中:
—高壓清洗機的工作壓力,Pa;
為簡化起見,我們假定不考慮壓力損失,公式(4)便簡化為:
公式(5)公式(5)中:K —清洗液性質有關的系數,對于清水,K=22.36N/(m/s)。
舉例說明:高壓清洗機的工作壓力
= 7MPa,流量 Q = 0.55m³/h,工作介質為清水。則與其匹配的噴槍噴嘴截面積應為 A = 1.291mm²。若噴嘴出口為圓截面,則其出口直徑 d = 1.28mm。
上一篇:發動機連桿清洗機的實驗設計與結果分析
下一篇:高壓清洗機噴嘴截面積計算—圖表法
- 標簽:
- 估算法
- 噴嘴參數
- 選擇方法
- 計算方法
- 高壓清洗機
新型高壓清洗機油管清洗噴頭—組合型噴頭
2013-05-28
高壓清洗機在鋼板清洗應用中壓力、流量的
2013-08-07
高壓水射流凝汽器銅管刮削式清洗塞的設計
2014-01-03
高壓清洗機噴嘴直徑對射流收縮的影響
2015-01-14
超高壓清洗機在金屬表面除銹應用中壓力、
2012-08-25
高壓清洗機日常維護:噴嘴的磨損因素及更
2018-08-22
高壓水去毛刺機專用噴嘴介紹
2018-07-16
高壓水射流破碎混凝土的優點
2018-07-04
高壓清洗機在管道清洗時的注意事項
2018-06-28
高壓水射流清洗安全注意事項
2018-06-20



