| 產品名稱: | |
| 產品大類: | |
| 產品小類: | |
- 全國統一銷售熱線:
- 北京總部:
- 010-64437473
- 上海:
- 021-62113795
- 深圳:
- 0755-86241216
超高壓水射流初始參數的確定及壓力損失分析
時間:2012-11-23 來源: http://m.weekbqp.cn
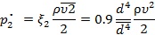
我們以噴嘴口徑為0.2mm為例,分析超高壓水射流形成過程中的壓力損失,根據實驗所用水射流設備的結構參數,將其代入到下列公式:
可得出:
以上四個公式進行比較后,可以看出
遠大于
,
,
。由此可以認為,在超高壓水射流形成過程中,壓力損失主要是由水流從高壓管道到高壓噴嘴時流道發生斷面收縮引起的,即超高壓水射流形成過程中壓力損失可以表示為:
根據以上分析得出,超高壓水射流形成過程中的壓力損失與高壓水射流有明顯的不同,其主要原因是超高壓水射流所用管道與噴嘴口徑的變化比高壓水射流大得多。通過公式(1)和公式(4)對比后可以看出,管道與噴嘴口徑變化增大,使得水流在水平管道中的流阻系數減小,從而使水流由管道進入噴嘴發生斷面收縮時的流阻系數增大。在另一方面,水流在噴管和噴嘴中速度變化會增大,這使得水流在水平管道中流動時損失的壓力相對更小,而水流由管道進入噴嘴發生斷面收縮時損失的壓力相對更大,所以在超高壓水射流形成過程中,水流由管道進入噴嘴發生斷面收縮是造成壓力損失的主要原因。
水射流的滯止壓力
由下列公式確定:
由公式(9)(10)可以確定穩壓容器中超高壓水流的初始壓力
:
根據水射流的滯止壓力
和平均流量 q ,可以確定水射流的功率 P :
通過以上分析可以確定所研究的超高壓水射流初始參數如下:

上一篇:超高壓水射流速度的實驗研究
下一篇:噴嘴口徑對超高壓水射流參數的影響
- 標簽:
- 分析
- 初始參數
- 壓力損失
- 超高壓水射流
高壓清洗機噴嘴截面積計算—圖表法
2013-04-15
高壓清洗機在清理注塑螺桿中的系統結構和
2012-10-17
高壓清洗機之連續水射流清洗噴嘴的種類及
2012-05-16
高壓清洗機在涂裝前處理中的工藝參數和注
2014-10-20
發動機連桿清洗機的實驗設計與結果分析
2013-03-19
高壓清洗機日常維護:噴嘴的磨損因素及更
2018-08-22
高壓水去毛刺機專用噴嘴介紹
2018-07-16
高壓水射流破碎混凝土的優點
2018-07-04
高壓清洗機在管道清洗時的注意事項
2018-06-28
高壓水射流清洗安全注意事項
2018-06-20



