- 全國統一銷售熱線:
- 北京總部:
- 010-64437473
- 上海:
- 021-62113795
- 深圳:
- 0755-86241216
高壓清洗機清洗工藝參數
時間:2011-08-20 來源:
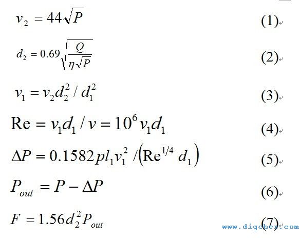
高壓清洗機打出高壓水射流在高壓輸水管和噴嘴中的速度分別為v1和v2,單位為m/s;高壓輸水管的內徑和長度分別d1和l2,噴嘴的直徑為d2,單位均為mm。對于任何高壓水射流工藝系統來說,壓力和流量確定以后,可以按水力學公式估算高壓水射流速度與其它水力參數的關系。

(1)~(7)式中:
P—高壓清洗機的壓力,MPa;
Q—高壓清洗機的流量,L/min;
△P—沿程壓力損失,MPa;
F—高壓水射流清洗的打擊力,N。
上一篇:高壓水射流清洗能量損失分析
下一篇:高壓清洗機壓力、噴嘴直徑與打擊力的關系
- 標簽:
影響高壓清洗機清洗效果的各種因素
2011-08-26
我國在清洗設備方面的研發現狀
2011-10-07
高壓清洗機消聲研究
2011-10-24
高壓清洗機射孔穿透技術新發展
2011-09-25
淺談高壓水射流如何達到徹底清洗垢層的效
2011-08-26
2019德高潔新年祝詞
2019-01-31
新時代新作為 德高潔借勢第六屆中非經貿合
2018-03-15
2018德高潔大拜年
2018-02-11
德高潔清洗設備助您發展一臂之力
2011-12-05
高壓清洗機工作時如何確定工作壓力
2011-11-08



